
Mandorle amare: proprietà, contenuto di cianuro, olio essenziale e usi in medicina. Tutte le informazioni sulla mandorla amara.
La mandorla, botanicamente nota come Prunus dulcis si distingue per due varietà: il Prunus dulcis var. Dulcis e il Prunus dulcis var. Amara.
Il mandorlo dolce si distingue per i suoi semi, prevalentemente dolci, tuttavia alcuni alberi producono semi più amari. La base genetica responsabile del sapore amaro dei semi coinvolge un singolo gene recessivo. E’ grazie a questa caratteristica genetica che è stato più semplice selezionare una seconda varietà, appunto, il mandorlo amaro, botanicamente noto come Prunus dulcis var. Amara.
La mandorla amara si distingue dalla dolce non solo per il sapore, anche per la forma: è leggermente più ampia e più tozza delle classiche mandorle dolci. Le mandorle amare contengono una componente oleosa maggiore di circa il 50% rispetto alla varietà dolce. Per altre informazioni sulle proprietà, vi rimandiamo all’articolo Olio di mandorle.
Mandorle amare e cianuro
In sintesi
Il cianuro non è contenuto nelle mandorle amare. L’origine del contenuto di cianuro nelle mandorle amare avviene tramite l’idrolisi enzimatica dell’amigdalina, durante la fase di post-ingestione delle mandorle amare.
In dettaglio
Le mandorle amare contengono l’enzima emulsina che, in presenza di acqua, agisce sui glucosidi solubili, sull’amigdalina e prunasina. L’amigdalina è il più importante glicoside cianogenetico. Oltre a essere contenuta in grandi quantità nelle mandorle amare, è presente nei semi di diverse Rosacee.
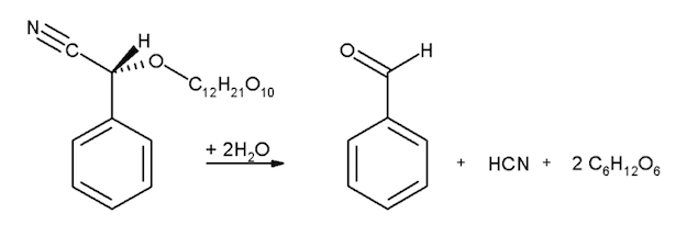
L’amigadalina è un glucoside cianogenetico, cioè capace di liberare acido cianidrico che contiene a sua volta cianuro. Questa molecola può essere enzimaticamente degratata in uno ione cianuro, una molecola di benzaldeide e due di glucosio.
L’emulsina, enzima contenuto nei semi di mandorlo amaro, è capace di indurre la trasformazione dell’amigdalina in cianuro con produzione di benzaldeide e due di glucosio.
Il cianuro, quindi, non è contenuto nelle mandorle amare ma può essere prodotto dalla reazione di un enzima (emulsina) e un glicoside cianogenetico (amigdalina).
L’amigdalina, di per sé è poco reattiva, inoltre, emulsina e amigdalina sono contenute sì nei semi di mandorlo ma in cellule vegetali separate. Queste due molecole, non entrando mai in contatto, nel ciclo di vita del mandorlo amaro non daranno mai vita al cianuro. Purtroppo, in caso di ingestione corporea amidgalina e emulsina possono entrare in contatto e portare alla formazione delle cellule suddette (cianuro, glucosio e benzaldeide). E’ per questo motivo che l’ingestione di mandorle amare provoca forti sintomi da avvelenamento da acido cianidrico.

Nell’immagine in alto è mostrata l’idrolisi dell’amigdalina con la conseguente formazione di benzaldeide, acido cianidrico (cianuro) e due molecole di glucosio. A catalizzare l’idrolisi dell’amigdalina è l’emulsina.
L’amigdalina è stato oggetto di numerosi studi per l’applicazione come agente anti-tumorale nella ricerca sul cancro. Nonostante le voci discordanti del panorama scientifico, lo statunitense National Institutes of Health ha concluso che i trial clinici non hanno mostrato alcun effetto benefico considerevole contro il cancro, anzi, stando all’Istituto Nazionale americano, l’amigdalina potrebbe apportare gravi danni alla salute per il rischio di intossicazione da cianuro. Per arrivare a questa conclusione, 178 pazienti malati di cancro, nel 1982, furono sottoposti al trattamento con amigdalina, nessuno di loro sopravvisse a causa degli alti livelli di tossicità dell’amigdalina (avvelenamento da cianuro).
Non solo terapia anti-tumorale. In passato gli estratti di mandorla amare erano molto usati in medicina, causando effetti letali su bambini e gravi intossicazioni (spesso con esito fatale) anche negli adulti.
Il cianuro, o meglio i reagenti, devono essere rimossi dalle mandorle amare prima di essere consumate. La dose letale di cianuro negli esseri umani è di 0,5 – 3,5 mg per kg di peso, l’equivalente di circa 50 mandorle amare. Per i bambini, il consumo di 5-10 mandorle amare può essere fatale.
Tutte le mandorle commercializzate a scopo alimentare sono rigorosamente della varietà dolce. Nel 2010, negli Stati Uniti, la Food and Drug Administration ha riferito che una piccola frazione di mandorle dolci poteva essere stata contaminata con mandorle amare. Non ci furono conseguenze perché il lotto fu prontamente individuato. Mangiare mandorle amare può provocare tutti i sintomi di avvelenamento da cianuro, il primo sintomo è dato da vertigini.
Nella foto in alto, un albero in fiore di mandorlo amaro. Come è chiaro, la fioritura del mandorlo amaro è rosa, e non bianca come per la varietà dolce.
Ti potrebbe interessare anche
