
Moto relativo, concetto fisico che sperimentiamo ogni minuto in circostanza anche banali ma che a volte da spiegare risulta complesso. Tutto sta nel fatto che ciascuno ha il suo punto di vista, non solo in politica, in cultura, in religione e in termini calcistici ma anche quando si tratta di misurare la posizione e la velocità con sui un certo oggetto o una persona si muovono.
Moto relativo: definizione
Il moto relativo nasce dal principio fondamentale di Galileo che ci svela, da tempo come sia possibile descrivere lo stesso fenomeno attraverso sistemi di riferimento diversi ed in moto relativo tra loro. Quando infatti ci troviamo a dover spiegare in termini precisi, scientifici, come si sposta anche solo un punto, non possiamo dire solo da A a B ma dobbiamo scegliere un sistema di riferimento inerziale, quindi fisso, da cui partire per poi applicare i principi della Dinamica di base.
Di solito noi pensiamo in termini di assi solidali rispetto alla superficie terrestre, cioè ragioniamo come se la Terra fosse ferma e chi si muove, si muove su qualcosa di fermo. E’ una approssimazione che funziona in molti casi e su cui Newton è riuscito a formulare le leggi del moto correttamente.
Tutto scorre liscio se parliamo di scale di grandezza a misura di uomo, se invece andiamo ad indagare massimi sistemi e moti su grande scala, o tempi che arrivano ad anni e decenni, allora il sistema di riferimento con la Terra come fosse ferma non vale più e siamo costretti a contemplare nei calcoli il fatto che il nostro pianeta si muove di continuo.

Moto relativo: fisica
Siamo già entrati nell’ambito della Fisica, facendo un passo in più, per gli appassionati di tali teorie, il moto relativo in questa materia e in altre che ne derivano, si comincia a trattare pensando di voler trovare come si formula la meccanica in un sistema R’ descritto da 3 coordinate di spazio, una di tempo e una origine, in moto rispetto al sistema inerziale R sempre descritto con lo stesso numero e tipo di parametri e che noi consideriamo “fisso”. Quindi R’ visto da R si muove.
Quello che ci si chiede, in fisica, è questo. Preso un oggetto come una palla, se si muove in un certo modo guardato da R, come si muove se iniziamo a guardarlo da R’ che si muove a sua volta?
Punti di vista, questo è il tema alla base del moto relativo e di molte altre vicende che non centrano con la fisica.

Moto relativo: esempi
Tornando alla nostra quotidianità in cui non ragioniamo ogni minuto pensando a sistemi di riferimento e coordinate spazio temporali, ecco alcuni esempi di moto relativo. Noi siamo ad un binario, in stazione, il nostro amico Marco è appena salito su un treno per Milano che si è avviato a destinazione.
Passa su un altro treno su un binario diverso che va in direzione opposta, un treno in transito, ad esempio, che non sosta. Noi lo vediamo passare dal binario con una certa velocità, Marco che, mentre il treno in transito passa, sta viaggiando sul proprio treno in direzione contraria, vedrà muoversi quel treno molto più velocemente di noi.
Noi e Marco non abbiamo lo stesso sistema di riferimento per la misura della velocità e, se ci mettessimo a calcolarla, considerandoci entrambi come fermi, ne ricaveremmo due valori diversi.

Moto relativo bidimensionale
Parlando di treni con binari ho già scelto un esempio quasi bidirezionale, come se ci fosse solo una direzione e due versi di transito, quindi abbiamo visto un caso in cui il moto relativo è bidimensionale. Non capita spesso di poter fare questa semplificazione in due dimensioni perché i corpi si muovono di solito spaziando secondo un sistema di 3 coordinate, le note x,y,z.
Certo, il moto relativo tridimensionale ha delle formule più complesse e si cerca sempre di riportare i casi in 2D per fare meno fatica.
Moto relativo e assoluto
Quando parliamo di moto relativo e moto assoluto, confrontiamo i sistemi di riferimento che utilizziamo prendendo come quello con la Terra ferma, di solito, come riferimento. Tornando ai treni di prima, in compagnia di Marco, il moto del treno in transito che vediamo noi è quello assoluto, il moto che vede e valuta Marco, dal suo treno in movimento, è un moto relativo.
Ma è tutto relativo.
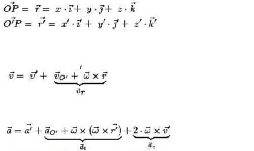
Moto relativo: formule
Per chi volesse dare una occhiata alle formule di base usate per iniziare a studiare in modo concreto e scientifico il moto relativo, eccole!

Se vi è piaciuto questo articolo continuate a seguirmi anche su Twitter, Facebook, Google+, Instagram
Ti potrebbero interessare anche:
