
Legge di Coulomb gioca con le cariche elettriche, puntiformi o meno che siano, e va ad indagare come esse si rapportano tra loro. C’è chi la interpreta come una sorta di metafora delle relazioni umane, questo può essere un modo personale di intendere ciò che la scienza di insegna ma la Legge di Coulomb resta una nozione scientifica importante e provata.
Legge di Coulomb: definizione
Descrive la forza di Coulomb che è la forza esercitata da un campo elettrico su una carica elettrica. Questa legge vale quando si è in presenza quindi di oggetti elettricamente carichi che interagiscono tra loro e mira a definire, di base, la forza dell’interazione tra due cariche elettriche puntiformi e ferme nel vuoto.
Grazie alla Legge di Coulomb si mette in luce che l’interazione elettromagnetica è associata ad una forza che rispetto a quella gravitazionale è molto più intensa, nella coppia elettrone e protone di un atomo d’idrogeno, 1039 volte superiore.

Legge di Coulomb: formula
Dando un occhio alla formula si vedono le cariche e le distanze. In particolare la Legge di Coulomb ci dice che la forza è proporzionale al prodotto dei valori delle cariche e inversamente proporzionale al quadrato della loro distanza. Per quanto riguarda la direzione, coincide con la congiungente delle due cariche ed è una forza repulsiva esse sono di ugual segno, attrattiva altrimenti.

Passare dalla Legge di Coulomb alla Legge di Coulomb in forma vettoriale basta ragionare sulla direzione della forza, risultante dalla differenza dei vettori posizione delle due cariche. La legge di cui stiamo parlando descrive sì la situazione più semplice, come detto, ma può essere estesa considerando cariche in presenza di altri materiali, quindi non più nel vuoto, e non puntiformi che vengono rappresentate in formula ricorrendo agli integrali. Una approssimazione che non si allontana troppo dalla realtà.
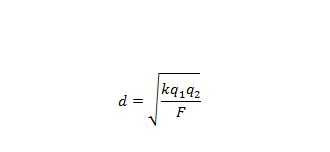
Legge di Coulomb: formule inverse
Facendo esercizi con la Legge di Coulomb può capitare molto spesso che ci si trovi di fronte alla richiesta di trovare la distanza note le cariche e la forza. Ecco a cosa serve la formula inversa.

Legge di Coulomb e carica elettrica
Se servono cariche elettriche, vediamo come generarle. Ad esempio si può utilizzare un generatore elettrostatico come l’elettroforo perpetuo ed il generatore di Van de Graaff, spesso citati nei libri di fisica. In natura possiamo osservare la forza di Coulomb o per lo meno i suoi effetti, con l’effetto corona o il potere disperdente delle punte.

Legge di Coulomb: esercizi
Chi si trova alle prese con la forza di Coulomb, userà certo altrettante volte la formula diretta come quella inversa, per ricavare la distanza. Se ha già fatto altri esercizi anche utilizzando la legge di gravitazione universale si sarà accorto con un occhio alle due formule, che entrambe le forze rispettive sono direttamente proporzionali al prodotto delle proprietà dei due corpi. In un caso ci sono le masse, nell’altro le cariche.
A livello ideale c’è una certa corrispondenza, quindi, ma è importante ricordare che la forza di gravità è sempre e solo attrattiva e che la forza elettrica di attrazione fra un protone e un elettrone all’interno dell’atomo di idrogeno è oltre mille volte superiore rispetto alla forza gravitazionale tra le due particelle.
Se ti piace la fisica, a fine articolo, ti consiglio di leggere anche quello dedicato alla costante di Planck
