
Punto di rugiada, non è un punto ma è un “arrivati al punto che”. E’ una temperatura limite oltre la quale accade qualcosa di speciale, uno di quei miracoli della natura che avvengono a volte sotto i nostri occhi e a cui non badiamo fino a quando non ci troviamo a studiarli, oppure a … leggere un articolo on line.
Punto di rugiada: cosa è
In inglese si dice dew point, si chiama punto anche in inglese, quindi, perché non è esattamente solo una temperatura ma è uno stato termodinamico che possiamo identificare con due parametri, come fossero due coordinate su un piano. Esse sono la temperatura e la pressione.
Quando una miscela bifase, composta di liquido e vapore, un sistema, si trova al punto di rugiada, allora è satura di vapore. Oltre, cioè se continuiamo ad aumentare la temperatura oppure a far decrescere la pressione, la miscela non si presenterà più con la compresenza di due fasi ma solo con la presenza di vapore. Se invece non superiamo il limite del dew point, possiamo tranquillamente avere sempre il sistema bifase, con un liquido in equilibrio con il suo vapore.
Oltre al punto di rugiada c’è anche un altro punto, quello di brina, che è uno specifico punto di rugiada fissato ad una temperatura sotto zero.

Punto di rugiada: temperatura
In meteorologia, questo punto, quello di rugiada, si riferisce soprattutto ad una temperatura. Per far condensare l’aria senza che avvenga alcuna variazione di pressione, è necessario portata ad una specifica temperatura, se essa cade sotto lo zero, allora parla di punto di brina, altrimenti di quello di rugiada, come appena spiegato.
Perché ci interessa così tanto questo punto, dal punto di vista del meteo? Perché definisce a quanti gradi va portata una massa d’aria, a pressione costante, perché possa cominciare a condensare. A livello pratico, si ha la formazione di brina, rugiada o nebbia perché si formano delle minuscole goccioline di acqua che restano sospese.
Punto di rugiada: muri
Questo punto è importante non solo se ragioniamo di nuvole e di brina, di nebbia o di foschia, ma anche se restiamo tra le mura domestiche, perché anche qui, come molti di noi sperimentano, l’umidità ci può raggiungere. E’ utile attrezzarsi per capire come è la situazione dei muri tra cui viviamo e per questo ci sono dei rivelatori di umidità apposta per legni, muri e pavimenti.
Servono per misurare il contenuto di umidità di vari materiali, non sono aggeggi troppo impegnativi né costosi ed è facile procurarsene uno, anche on line, su Amazon, con qualche decina di euro.

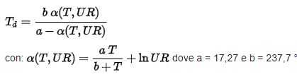
Punto di rugiada: formula
Misurarlo è facile, con l’apparecchiatura moderna, calcolarlo un po’ meno ed esistono delle formule per approssimare entro certi limiti. Ecco una delle più utilizzate.

Punto di rugiada: significato
Il punto di rugiada può aiutarci anche a capire le nostre sensazioni di caldo e di freddo soprattutto in estate, quando ci sentiamo soffocare dal caldo e sembra che ci manchi l’aria. Se ci sono temperature di rugiada superiori ai 17°C, allora c’è una leggera afa, se invece sono sopra i 21°C, abbiamo tutte le ragioni per lamentarci: c’è un’afa spaventosa. Tornando alla meteorologia, il dew point è legato anche alla formazione dei temporali, più è alto più rende probabile il loro arrivo.

Punto di rugiada: misuratore
Non per i muri ma per l’aria che ci circonda, serve un termometro igrometro, meglio se digitale e con tutte le protezioni in modo che funzioni sia all’aperto sia in casa o in cantina. Costa su Amazon solo 14 euro questo modello che fa anche da orologio e da sveglia, molti utilizzato anche in ufficio, negli hotel e nei laboratori come nei capannoni industriali.

Se vi è piaciuto questo articolo continuate a seguirmi anche su Twitter, Facebook, Google+, Instagram
Ti potrebbero interessare anche:
