
Tensione superficiale, non tra le persone, si tratta di un fenomeno fisico e non sociale, ed è quello che porta alcuni oggetti o creature a galleggiare sull’acqua, ad esempio, in situazioni inimmaginabili. Non vale solo per l’acqua ma anche per altri fluidi. La tensione superficiale è dovuta alla tendenza delle molecole dei liquidi a stringersi le une alle altre.
Tensione superficiale: definizione
Questo fenomeno si studia in meccanica dei materiali, viene indicato nelle formule con la lettera greca γ e per definizione è una densità superficiale di energia. L’energia è quella di legame che c’è sull’interfaccia tra un corpo continuo e un materiale di altra natura, solido, liquido o gassoso che sia.
La si chiama “tensione” ma non è dimensionalmente una vera e propria tensione, è una densità superficiale di forza e nel Sistema internazionale si misura di conseguenza in Newton su metro, abbreviato con (N/m). Se vogliamo osservare la tensione superficiale dal punto di vista termodinamico, possiamo intenderla come il lavoro necessario per aumentare la superficie del continuo di una quantità unitaria.
E’ una definizione più complessa da comprendere a chi non è del mestiere ma ora con qualche esempio sarà tutto più chiaro.

Tensione superficiale dell’acqua
Prendiamo un bicchiere con dell’acqua e una graffetta, appoggiandola dolcemente sulla superficie. Poi proviamo a mettere prima sulla superficie un piccolo pezzo di scottex, poi sopra la graffetta, e poi affondare e rimuovere con delicatezza la carta da sotto. La graffetta galleggia in entrambi i casi, ed è per via della tensione superficiale.
Ciò che accade, accade nell’acqua le cui molecole si attraggono a vicenda tra vicina. Al centro del bicchiere, ogni molecola in esso “immersa” attira e viene attirato da quelle attorno mentre le molecole che sono sulla superficie dell’acqua interagiscono solo con quelle di lato e di sotto: non ne hanno nessuna sopra!
Questo è punto: queste superficiali hanno meno vicine da tirare quindi possono tirare più forte le poche che hanno a disposizione costruendo uno strato di molecole in superficie che si tengono per mano saldamente. Questo velo di molecole “abbracciate” quasi, permette il galleggiamento di oggetti che sulla carta dovrebbero affondare perché più densi dell’acqua.
E’ necessario che essi abbiano una forma particolare che permetta a questo strato di molecole di liquido di reggere il loro peso.

Tensione superficiale dei liquidi
Come nell’acqua, anche in altri liquidi avviene quanto spiegato, con le molecole dello specifico fluido in questione che presenteranno delle loro caratteristiche. Se nell’acqua un esserino come ad esempio un insetto, sufficientemente piccolo e delicato, può camminare in superficie sorretto dalla tensione superficiale, non è detto che ciò possa accadere pari pari su un altro fluido. La forza della tensione superficiale varia a seconda del liquido: tutti ce l’hanno, chi più chi meno, come vedremo nel caso dell’acqua insaponata.
Tensione superficiale e capillarità
La capillarità è strettamente legata alla tensione superficiale che spiega bene come mai ci sono volte in cui un liquido sembra voler sfidare la forza di gravità o crea delle superfici gonfie o concave all’interno di cannucce e tubicini.

Tensione superficiale: esperimenti
Tra i tanti esperimenti che vedono come protagonista la tensione superficiale, consiglio quello più utile anche dal punto di vista educativo perché fa capire come è importante non inquinare le acque. Con una punta di detersivo si può fortemente indebolire la tensione superficiale e fare sprofondare una graffetta, allo stesso modo gettando sapone e simili inquinanti in un lago, andiamo a mettere in difficoltà gli insetti che camminano sull’acqua e così sopravvivono sfamandosi.
Con semplici esperimenti sulla tensione superficiale in un bicchiere di acqua e di acqua e sapone, è possibile mostrare ai bambini perché detersivi e altre sostanze non devono andare a contaminare le acque dei nostri mari e laghi.
Tensione superficiale: formula
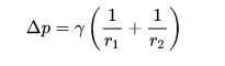
L’effetto della tensione superficiale tra due corpi di natura diversa è ben descritto dalla legge di Laplace, ecco la formula, nel caso semplice di una bolla di sapone in cui si verifica un salto di pressione nell’attraversamento perpendicolare dato da

Se vi è piaciuto questo articolo continuate a seguirmi anche su Twitter, Facebook, Google+, Instagram
